J Am Soc Nephrol. 2025 Apr 17;36(7):1398-1413.
Long-Term Outcomes in Nephrotic Syndrome by Kidney Biopsy Diagnosis and Proteinuria
David Pitcher, Fiona Braddon, Bruce Hendry, Alex Mercer, Jonathan Barratt, Retha Steenkamp, Katie Wong, A Neil Turner, Wu Gong, Daniel P Gale, Moin A Saleem
PMID: 40244693
PMCID: PMC12187231 (available on 2026-07-01)
Why was this study done?
Many of our regular readers may recall that we discussed the UK National Registry of Rare Kidney Diseases (RaDaR cohort) back in July 2024. The RaDaR database was established in 2010 by the UK Kidney Association, with linkages to hospital labs and the UK renal registry for KRT and death for over 30,000 patients. Initial evaluation of the data showed that rare kidney diseases have a higher survival rate on KRT than other common causes of CKD. Now, only a year later, we have data to examine specific glomerulonephritis outcomes. The current study specifically examines the outcomes of patients with nephrotic syndrome and FSGS or MCD. Since the discovery of anti-nephrin antibodies, it has been postulated that MCD and FSGS might be a continuum of the same immune-mediated podocytopathy, with the later being more severe and associated with kidney failure (Barr B, et al. Curr Opin Nephrol Hypertens 2025). Though it is well accepted that FSGS may be associated with a slightly higher risk of kidney failure, MCD is perceived to have a relatively benign course with a low risk of kidney failure. This study tests those preconceived notions, with extremely long-term data from this very large cohort. New therapeutics are now being FDA approved based upon data showing reduction in proteinuria as a surrogate marker for risk of rapid eGFR decline and ultimately need for KRT (Inker LA, et al. AJKD 2014).
How was the study done and what did it show?
For details on the methods, check out our summary of the full RaDaR cohort. Data from the idiopathic nephrotic syndrome cohort, from 2010-2023, was included for evaluation in the present study. Those with a biopsy diagnosis of FSGS or MCD were included, but a biopsy was not a prerequisite for inclusion. Patients with an initial biopsy diagnosis of MCD who also received an FSGS diagnosis on a subsequent biopsy were included in both groups and also analyzed as an additional subgroup of patients who have progressed from MCD to FSGS. All forms of secondary nephrotic syndrome were excluded. Disease onset was defined as the earliest of: first biopsy date, primary kidney diagnosis date recorded in RaDaR, or first urine protein:creatinine ratio (UPCR) measurement ≥1.5 g/g. Kidney failure was defined as the first occurrence of either long-term KRT, a confirmed eGFR <15 ml/min per 1.73 m2, or CKD stage 5 recorded in RaDaR. Complete remission of proteinuria was defined as an UPCR < 0.3 g/g, and partial remission was defined as UPCR 0.3-3.5 g/g and 50% reduction from baseline.
The idiopathic nephrotic syndrome cohort consisted of 4066 patients, comprising 2467 adults and 1599 children. Most (59%) patients in the idiopathic nephrotic syndrome cohort had a diagnosis from a kidney biopsy. There were 1303 patients with FSGS and 1153 patients with MCD. One-hundred five patients received a genetic diagnosis, 82% of those were children. 1550 patients lacked a record of a kidney biopsy or a genetic diagnosis, of whom 836 were children at disease onset; this group of “uncertain diagnoses” was not analyzed in detail.
Children with genetic nephrotic syndrome showed a 10-year kidney survival rate of 25%, with an annual mean rate of eGFR loss of -37 ml/min/1.73 m2. By contrast, children diagnosed with MCD on biopsy had a 10-year kidney survival rate estimate of 89% with an annual mean rate of eGFR loss of -4.5 ml/min/1.73 m2. The time-averaged proteinuria during follow-up correlated with survival rate estimates and annual eGFR decline rates across different subpopulations, thus further supporting UPCR as a KRT surrogate.
Fig. 1: Kaplan–Meier survival curves of time to kidney failure/death for idiopathic nephrotic syndrome patients by diagnosis category (idiopathic nephrotic syndrome cohort). (A) Overall, (B) pediatrics, (C) adults, by diagnosis category. KF, kidney failure; MCD, minimal change disease. (Pitcher D, et al. JASN 2025)
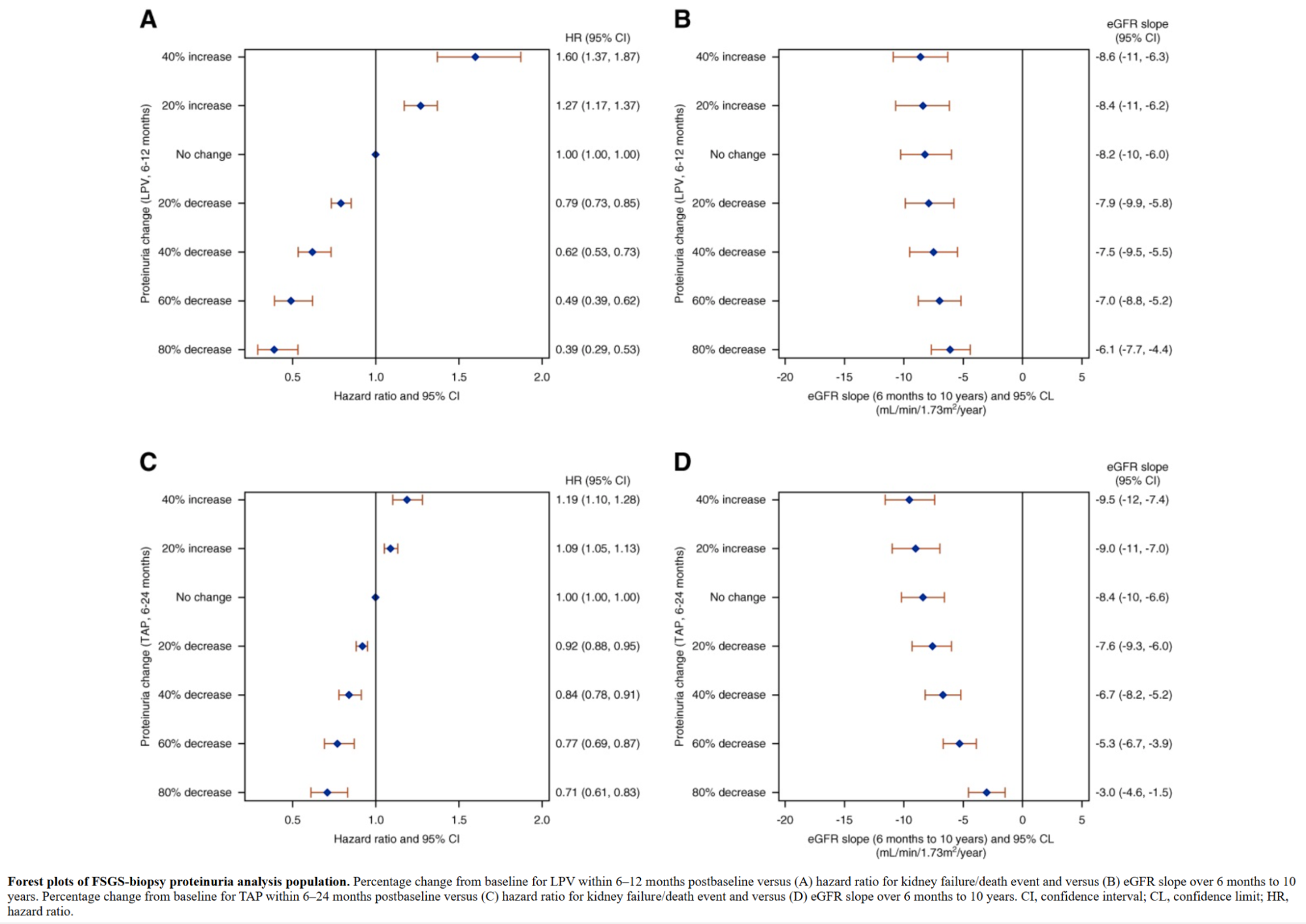
Early changes in proteinuria, evaluated on the basis of the lowest proteinuria value and the time-averaged proteinuria, during the periods of 6–12 and 6–24 months postbaseline, were examined. Higher levels of proteinuria showed a significant association with deteriorating kidney outcomes and accelerated eGFR loss in both incident FSGS and MCD proteinuria analysis.
Table 3. FSGS outcomes for incident patients (Pitcher D, et al. JASN 2025)
Table 4. MCD outcomes for incident patients (Pitcher D, et al. JASN 2025)
Relationships between early change in proteinuria versus eGFR loss and kidney survival were evident in MCD incident and prevalent populations; however, the associations were not as marked as compared with the FSGS populations. Interestingly, achieving this lowest proteinuria value category, complete remission, showed a similar eGFRslope regardless of pathology. The eGFR slope at 6 months to 10 years was −1.9 [SD 5.8] ml/min/1.73 m2 per year for MCD and −0.9 [SD 17.7] ml/min/1.73 m2 per year for FSGS.
An exploratory analysis was undertaken to investigate how incrementally higher cut-points for proteinuria, commencing at <0.3 g/g (complete remission), were associated with the risk of kidney failure. As evident in figure 5 there is a very distinct difference in kidney failure and death above a threshold of UPCR 1.5 g/g. Also apparent is that there is only a marginal difference in outcomes between a threshold of 0.3 g/g and 1.5 g/g.
Figure 5: Kaplan–Meier survival curves of incident FSGS-biopsy proteinuria analysis population. Proteinuria response category approach applying (A) lowest proteinuria value within 6–12 months postbaseline, (B) time-averaged proteinuria within 6–24 months post baseline. (Pitcher D, et al. JASN 2025)
Outcome thresholds of proteinuria were further defined by time averaged values 6-12 month post baseline. Ten year hazard ratios for patients with FSGS and < 0.75 g/g was zero (for 21 total patients). The risk then increases incrementally in patients with > 1 g/g averaged UPCR.
Table s10. FSGS 10-year hazard ratios for time-average proteinuria 6-12 months from baseline. (Pitcher D, et al. JASN 2025)
What are the implications?
Not surprisingly, uncontrolled proteinuric kidney disease is associated with poorer outcomes. One third of 4066 patients reached kidney failure or died over a median 8 year follow-up. FSGS outcomes were strongly associated with the proteinuria level, further impressing upon nephrologists to treat proteinuria more urgently, and adjust therapeutics quickly to get to UPCR goals. Early control of proteinuria was associated with lower kidney failure risk, and in FSGS levels <1.5 g/g were associated with better kidney outcomes at 10 years. Treatment of FSGS remains challenging due to many heterogeneous etiologies and likely underlying pathophysiologies. However, what becomes evident from longitudinal cohort studies is that rapid control of proteinuria (with complete or partial remission) remains a strong indicator of future outcomes.
Figure 4. Forest plots of FSGS-biopsy proteinuria analysis population. Percentage change from baseline for LPV within 6–12 months postbaseline versus (A) hazard ratio for kidney failure/death event and versus (B) eGFR slope over 6 months to 10 years. Percentage change from baseline for TAP within 6–24 months postbaseline versus (C) hazard ratio for kidney failure/death event and versus (D) eGFR slope over 6 months to 10 years. CI, confidence interval; CL, confidence limit; HR, hazard ratio. (Pitcher D, et al. JASN 2025)
Conclusion
This review of the RaDaR nephrotic syndrome cohort did not have any paradigm shifting revelations, but did confirm many of the accepted dogma concerning proteinuria and eGFR loss. Additionally, it did show that MCD may not be benign (11%), MCD can rarely transform to FSGS (4%) and that higher levels of proteinuria (particularly above a threshold of 1.5 g/g) are associated with significantly worse 10-year kidney outcomes. Given this additional data, nephrologists treating patients with podocytopathies should feel a certain increased urgency to use effective (and hopefully affordable/accessible) therapies and rapidly lower proteinuria to protect against glomerulosclerosis.
Brian Rifkin, MD, FASN, FASDIN
Hattiesburg Clinic
Hattiesburg, MS
Reviewed by Swapnil Hiremath

